Disc
-
class disc : public mln::se_facade<disc>
Create a disc of a given radius r with or without approximation.
The extent of the structuring will be 2*⌊r⌋+1. If an n-approximation is given, the radial decomposition of the disc is used when possible. The approximiation is a 2-n side polygon. If 0, the exact euclidean disc is used, that are all points \( \{p \mid |p| \le r\} \)
Property
Incremental
Yes if created with no-approximation
Decomposable
Yes if created with approximation
Separable
No
Public Types
Public Functions
-
explicit disc(float radius, approx approximation = PERIODIC_LINES_8)
Constructs a disc of radius
rwith a given approximation.- Parameters:
radius – The radius r of the disc.
approximation – The disc approximation
-
inc_type inc() const
A WNeighborhood to be added when used incrementally.
- Throws:
std::runtime_error – if the disc is not incremental
-
inc_type dec() const
A WNeighborhood to be substracted when used incrementally.
- Throws:
std::runtime_error – if this disc is not incremental
-
std::vector<mln::se::periodic_line2d> decompose() const
Return a range of SE for decomposition.
- Throws:
std::runtime_error – if not decomposable
-
bool is_decomposable() const
True if the SE is decomposable (i.e. constructed with approximation)
-
bool is_incremental() const
True if the SE is incremental (i.e. constructed with no-approximation)
-
inline float radius() const
Returns the radius of the disc.
-
inline int radial_extent() const
Returns the extent radius.
-
explicit disc(float radius, approx approximation = PERIODIC_LINES_8)
Approximated discs
Quality of the approximation
The approximated disc 𝔇ₐ of the true euclidean disc 𝔇 uses a radial decomposition in 8 periodic lines \(k_i.L_\theta\) of orientations θ ∈ {0°, 30°, 45°, 60°, 90°, 120°, 135°, 150°} and length kᵢ.
Such approximation introduces an error:
Below is the error of our approximation, the 8-approximation of matlab and the best approximation possible using 8 periodic lines (computed by exhaustive search).
Euclidean disc |
Matlab 8-appoximated disc |
Our appoximated disc |
Error of our disc approximation (labeled custom above), matlab approximation and the best appromximation relative to the euclidean disc.
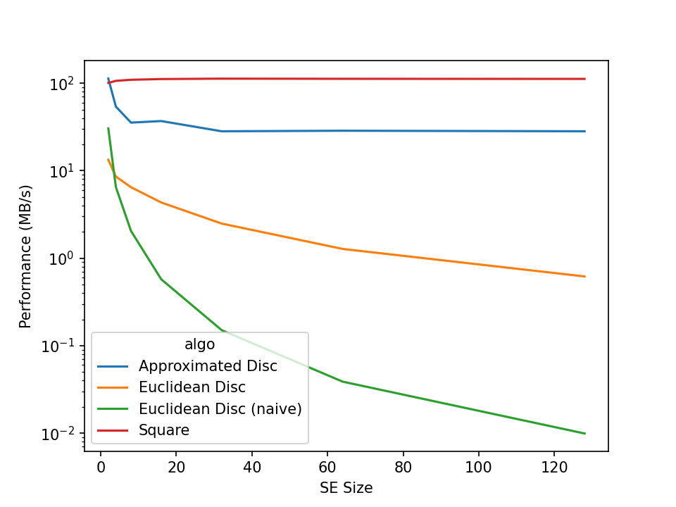
Performance
Using approximated disc can speed up the running of some morphological operations. Below is the running time of the dilation by the euclidean disc vs the approximated disc.
Dilation by a square is given as reference. The running time of the dilation by the approximated disc does not depend on the radius (like for a square) because it uses a decomposition in periodic lines (the SE is decomposable) [Adam93] [JoSo96a] [JoSo96b]. The dilation by the euclidean disc is \(O(r.n)\) because of the optimization of incremental SEs by [VaTa96]. It contrasts with the naive implementation which is \(O(r^2.n)\) for disc.
References
Adams, R. (1993), ‘Radial decomposition of discs and spheres.’, Computer Vision, Graphics, and Image Processing: Graphical Models and Image Processing 55(5), 325–332.
Jones, R., & Soille, P. (1996). Periodic lines: Definition, cascades, and application to granulometries. Pattern Recognition Letters, 17(10), 1057-1063.
Jones, R., & Soille, P. (1996). Periodic lines and their application to granulometries. In Mathematical Morphology and its Applications to Image and Signal Processing (pp. 263-272). Springer, Boston, MA.
Van Droogenbroeck, M., & Talbot, H. (1996). Fast computation of morphological operations with arbitrary structuring elements. Pattern recognition letters, 17(14), 1451-1460.


